Dynamic¨Cstatic hybrid dictionary learning: enhancing deep K-SVD for image denoising and beyond
Z. Sun1, J. Yao1, C. Zhang2
1. School of Mathematical Sciences, Liaocheng University, Liaocheng, 252000, China
2. College of Computer Science and Technology, Chongqing University of Posts and Telecommunications, Chongqing,400065, China
¡¡Abstract
Dictionary learning (DicL) is
a fundamental technique in sparse representation, widely applied in image
processing. As a promising deep extension of traditional DicL, Deep K-SVD
(DKSVD) inherits the interpretability of classical models while benefiting from
the strong learning capacity of deep networks. However, its reliance on static
dictionaries limit adaptability in complex scenarios. To overcome this
limitation, we propose DS-DKSVD, a dynamic-static extension of DKSVD, which
integrates a hybrid dictionary composed of static and dynamic components. The
static component, represented by network parameters, captures global features
from training data, while the dynamic component, generated by a dedicated
sub-network, adapts to specific input characteristics. During patch averaging,
DS-DKSVD dynamically assigns weights, enhancing inter-patch variation handling.
Extensive experiments on non-blind and blind image denoising demonstrate its
superiority over existing methods. DS-DKSVD achieves up to 0.46 dB and 0.42 dB
improvements in PSNR over the original DKSVD and its adaptive variant (AKSVD),
respectively. Beyond denoising, a preliminary image classification task
highlights the broader applicability of DS-DKSVD. Complementing these
quantitative results, visualizations of the learned hybrid dictionary provide
qualitative evidence of its interpretability, revealing the complementary roles
of static and dynamic components. The source code for the DS-DKSVD is publicly
available at https://github.com/yaojingzeo/DS-DKSVD.
¡¡
Paper
Z. Sun#*, J. Yao, C. Zhang. Dynamic¨Cstatic hybrid dictionary learning: enhancing deep K-SVD for image denoising and beyond. Vis Comput, vol. 42,138, 2026. [pdf | code]
¡¡
Motivation

¡¡
Architecture
¡¡

¡¡
¡¡

¡¡
Visualization Results


¡¡

¡¡

¡¡
¡¡
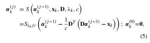
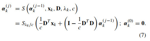
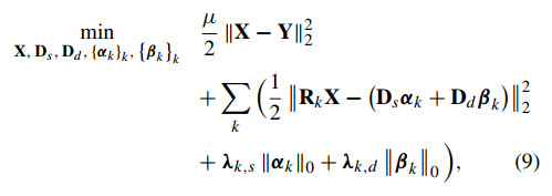
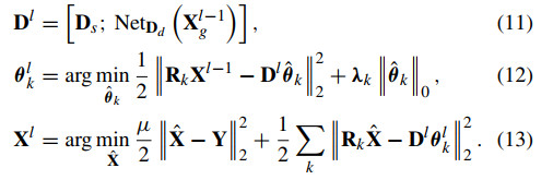
Theories
¡¡













¡¡
¡¡
¡¡
¡¡
¡¡
¡¡