Static/dynamic
filter with nonlocal regularizer
Le Xing, Zhonggui Sun,
Yuhua Fan
Liaocheng University
Abstract
Guided (joint) image filters play an important role in
many computer vision and image processing applications. The main principle
behind these filters is transferring the structural information from a guidance
image to an input one. However, in practice, the structures between the two
images are not always consistent. As a result, the filtering outputs become
sensitive to outliers, which easily leads to texture-copying artifacts. Most
recently, by relaxing the dependence on the guidance, static/dynamic (SD) filter
overcomes the drawback effectively.With the SD strategy, this filter can jointly
leverage structural information from the guidance and input. However, due to the
locality of its regularizer, SD is prone to another deficiency, i.e., edge
blurring. To tackle this problem, in our work, we extend SD filter to a nonlocal
version [nonlocal static/dynamic (NSD)]. Particularly, a nonlocal regularizer is
first established in a subspace transformed by partial least squares, which can
better respect the unequal roles of the images. Then, to efficiently formulate
the structural consistency between the two images (guidance and input), a novel
joint term is plugged into the regularizer. Finally, an acceleration approach is
designed to reduce the computational complexity induced by the nonlocal
extension, which makes NSD achieve a comparable running time in practice.
Thorough experimental results demonstrate that the proposed filter not only can
avoid texture copy effectively but also can preserve edges powerfully.
Paper
L. Xing, Z. Sun, Y. Fan. "Static/dynamic filter with nonlocal regularizer," in Journal of Electronic Imaging, vol. 30, no.1, pp. 1-16, 2021. [pdf|code]



Visualization Results




Theories

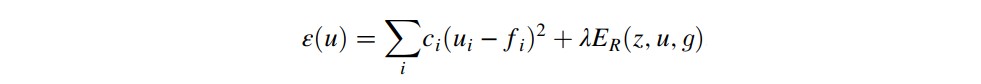
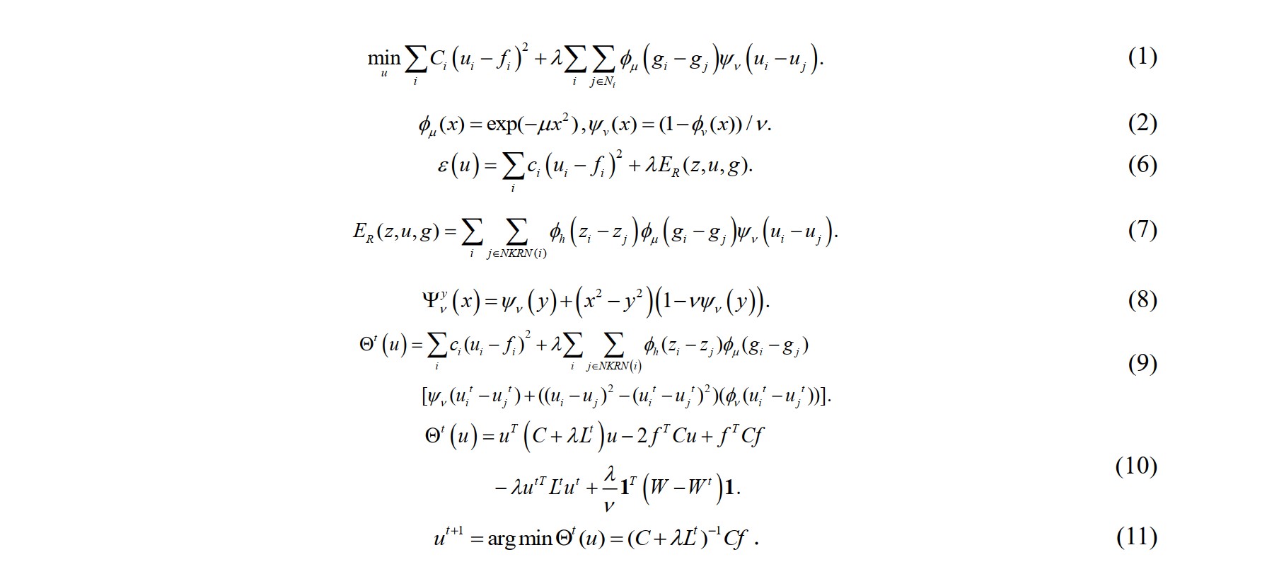
Proof

