Analysis of
Non-Local Euclidean Medians and Its Improvement
¡¡
Zhonggui
Sun1,2£¬Songcan Chen1
¡¡
1Nanjing
University of Aeronautics & Astronautics
2Liaocheng
University
¡¡
Abstract
Non-Local
Euclidean Medians (NLEM) has recently been proposed and shows more effective
than Non-Local Means (NLM) in removing heavy noise. In this letter, we find the
inconsistency between the two dissimilarity measures in NLEM can affect its
robustness, thus develop an improved version (INLEM) to compensate such an
inconsistency. Further, we provide a concise convergence proof for the iterative
algorithm used in both NLEM and INLEM. Finally, our experiments on synthetic and
natural images show that INLEM achieves encouraging results.
¡¡
Paper
Z. Sun, S. Chen. Analysis of Non-Local Euclidean Medians and Its Improvement. in IEEE Signal Processing Letters, vol.20, no.4, pp.303-306, 2013. [pdf|code]
¡¡








¡¡
¡¡
¡¡
¡¡
¡¡
Visualization Results
¡¡
¡¡

¡¡
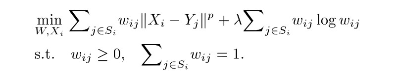
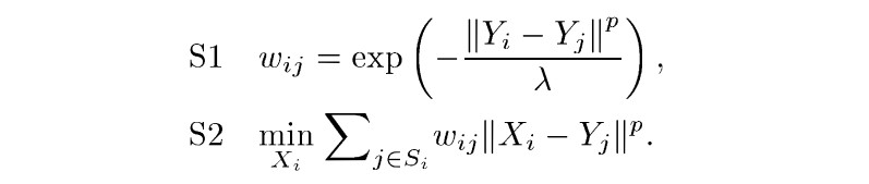
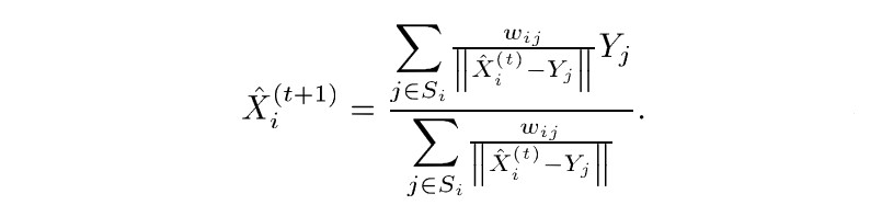
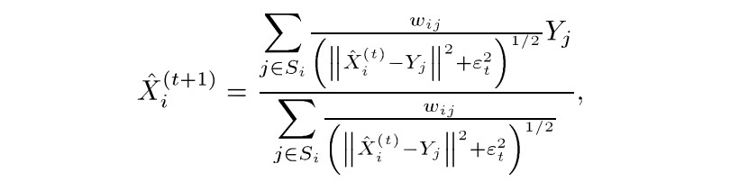
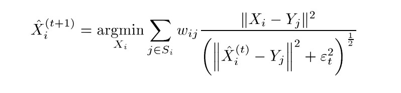
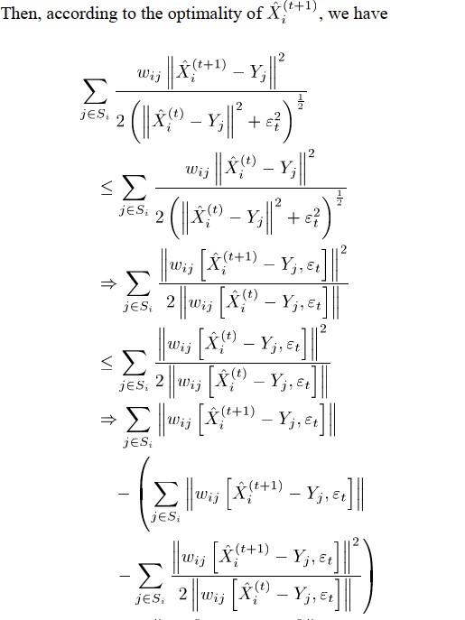
Theories




¡¡
¡¡
¡¡
¡¡
¡¡
¡¡
¡¡