A General
Non-local Denoising Model Using Multi-Kernel-Induced Measures
¡¡
Zhonggui
Sun1,2£¬Songcan Chen1, Lishan Qiao2
¡¡
1Nanjing
University of Aeronautics & Astronautics
2Liaocheng
University
¡¡
Abstract
Noises are inevitably introduced in digital image acquisition processes, and
thus image denoising is still a hot research problem. Different from local
methods operating on local regions of images, the non-local methods utilize
non-local information (even the whole image) to accomplish image denoising. Due
to their superior performance, the non-local methods have recently drawn more
and more attention in the image denoising community. However, these methods
generally do not work well in handling complicated noises with different levels
and types. Inspired by the fact in machine learning field that multi-kernel
methods are more robust and effective in tackling complex problems than
single-kernel ones, we establish a general non-local denoising model based on
multi-kernel-induced measures (GNLMKIM for short), which provides us a platform
to analyze some existing and design new filters. With the help of GNLMKIM, we
reinterpret two well-known non-local filters in the united view and extend them
to their novel multi-kernel counterparts. The comprehensive experiments indicate
that these novel filters achieve encouraging denoising results in both visual
effect and PSNR index.
Paper
Z. Sun, S. Chen, L. Qiao. A General Non-local Denoising Model Using Multi-Kernel-Induced Measures. Pattern Recognition (PR), vol. 47, pp. 1751-1763, 2014. [pdf]


¡¡

¡¡


¡¡

¡¡
¡¡
Visualization Results
¡¡
¡¡

¡¡
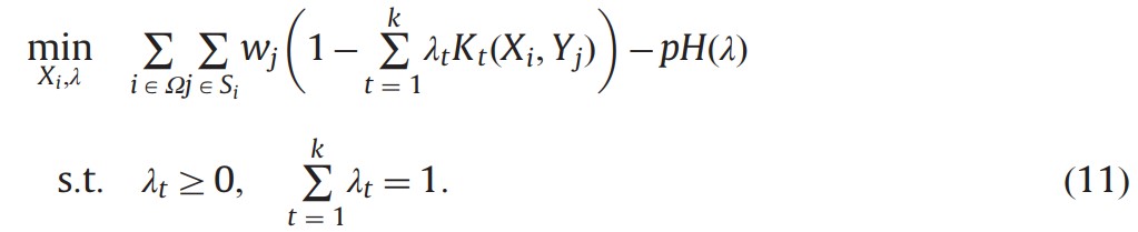
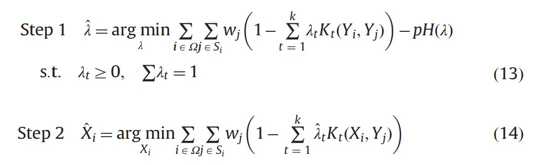
Theories
¡¡
¡¡
¡¡

¡¡
¡¡
¡¡




¡¡
¡¡
¡¡
¡¡
¡¡
¡¡
¡¡